Tetra sodium salt
of Amino Trimethylene Phosphonic Acid
(ATMP•Na4)
[CAS
No.] 20592-85-2
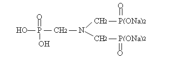
Molecular Formula:
C3H8NO9P3Na4
Molecular
Weight: 387
Structural Formula:

Properties:
is the neutral sodium salt of ATMP, it can
inhibit the scale formation in water system, especially the
calcium carbonate. This product is suitable for circulating cool
water system in power electric plant, oilfield refill water
system in oil refining plant. This product has good synergistic
effects with other additives. is specially used in
neutral to acidic condition with no ammonia smell let off.
Specification:
|
items |
index |
|
Appearance |
|
|
Active component(ATMP)%
|
29.4-32.4 |
|
Active componen(ATMP•Na4)%
|
38.0-42.0 |
|
pH value(1% water solution) |
6.5-7.5 |
|
Fe ppm ≤ |
35 |
|
Density (20℃) g/cm3 ≥ |
1.40 |
Usage:
This product is usually used together with
organophosphoric acid, polycarboxylic acid, or their salts
to form organic alkaline water treatment agents. It can be
used in circulating cool water system in almost all types of
water quality.
Package and Storage:
30kg or 250kg plastic barrel, or confirmed by clients. Storage
for ten months in room shady and dry place.
|