Hepta Sodium salt
of Diethylene Triamine Penta (Methylene Phosphonic Acid) (DTPMP•Na7)
[CAS
No.] 22042-96-2 (x-Na) 68155-78-2 (7-Na)
Molecular Formula:
C9H21O15N3P5Na7
Molecular Weight: 727
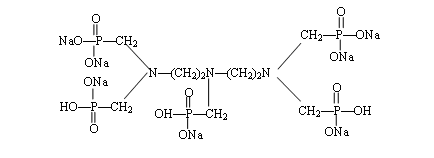
Structural Formula:

Properties:
It can be used as scale inhibitor, high effective chelant, excellent BaSO4 scale inhibitor, it is widely used in
cool water treatment system, stabilizer for peroxide bleaching,
detergent auxiliaries, industrial and municipal cleaning water,
terrestrial heat water, oilfield water, etc.
Specification:
|
items |
index |
|
Appearance |
|
|
Active component(DTPMPA)% |
24.0-26.0 |
|
Active component (DTPMP·5Na) % |
30.0-33.0 |
|
Total phosphoric (as PO43-) %
≥ |
20.7 |
|
Chloride (as Cl) % ≤ |
5.0 |
|
Fe (Fe) ppm ≤ |
20 |
|
pH value(1% water solution) |
7.0-9.0 |
|
pH value(original solution) |
6.0-8.0 |
|
Density (20℃) g/cm3 ≥ |
1.29 |
Package and Storage:
30kg or 250kg plastic barrel, or confirmed by clients. Storage
for ten months in room shady and dry place.
Safety
Protection:
Weak acidity, Avoid
contact with eye and skin, once contacted, flush with water.
|